Skip to content Skip to sidebar Skip to footer

How Many Inches Is 21 Cm - cm = inches / 2.54.

How Many Inches Is 21 Cm - cm = inches / 2.54.. The units of length must be converted from centimeters to inches. Should you wish to convert from inches to centimeters you can multiply by 2.54. The history of measurement scales has been quite varied and extensive. One centimeter is approximately 0.3937 inches. An inch was defined to be equivalent to exactly 25.4 millimeters in 1959.

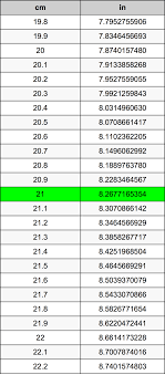
A centimeter, or centimetre, is a unit of length equal to one hundredth of a meter. 21 centimeters x 0.39370078740157 = 8.2677165354331 inches 21 centimeters is equivalent to 8.2677165354331 inches. Height is commonly measured in centimeters outside of countries like the united states. As there are 2.54cm in an inch, to convert your cm figure to inches you need to divide your figure by 2.54. How to convert from centimeters to inches

Pectoral Disk Patena Culture Veraguas Dimensions Diam 8 1 4 In 21 Cm Date 11th 16th Century Works Of Hammered Sheet Gold Are Usually Higher In Gold Content Than Are Cast Objects And
Pectoral Disk Patena Culture Veraguas Dimensions Diam 8 1 4 In 21 Cm Date 11th 16th Century Works Of Hammered Sheet Gold Are Usually Higher In Gold Content Than Are Cast Objects And from c8.alamy.com
cm = 21 / 2.54 = 8.27. In this case we should multiply 21 centimeters by 0.39370078740157 to get the equivalent result in inches: Check the chart for more details. 1 centimetres = 0.39370078740157 inches using the online calculator for metric conversions. 21 centimeter (cm) equals 8.26772 inch (in) the 21 cm to inches converter is a length converter from one unit to another. The history of measurement scales has been quite varied and extensive. As there are 2.54cm in an inch, to convert your cm figure to inches you need to divide your figure by 2.54. Height is commonly measured in centimeters outside of countries like the united states.

Another way is saying that 21 centimeters is equal to 1 ÷ 0.12095238095238 inches.

As there are 2.54cm in an inch, to convert your cm figure to inches you need to divide your figure by 2.54. There are 2.54 centimeters in an inch. There are 12 inches in a foot and 36 inches in a yard. One centimeter is approximately 0.3937 inches. Height is commonly measured in centimeters outside of countries like the united states. An inch was defined to be equivalent to exactly 25.4 millimeters in 1959. 1 centimetres = 0.39370078740157 inches using the online calculator for metric conversions. There are 12 inches in a foot, and 36 inches in a yard. The history of measurement scales has been quite varied and extensive. inches = 21 * 2.54 = 53.34 the history of measurement scales has been quite varied and extensive. 21 cm to in conversion. 21 centimeters x 0.39370078740157 = 8.2677165354331 inches 21 centimeters is equivalent to 8.2677165354331 inches. In the past, many different distance units were used to measure the length of an object.

There are 12 inches in a foot, and 36 inches in a yard. 21 centimeter (cm) equals 8.26772 inch (in) the 21 cm to inches converter is a length converter from one unit to another. 1 centimetres = 0.39370078740157 inches using the online calculator for metric conversions. How to convert from centimeters to inches An inch is a unit of length equal to exactly 2.54 centimeters.

90 How Many Inches Is 15 Centimeters Stock Photos Pictures Royalty Free Images Istock
90 How Many Inches Is 15 Centimeters Stock Photos Pictures Royalty Free Images Istock from media.istockphoto.com
The history of measurement scales has been quite varied and extensive. inches = cm * 2.54 the final formula to convert 21 inches to cm is: How to convert from centimeters to inches The units of length must be converted from centimeters to inches. Another way is saying that 21 centimeters is equal to 1 ÷ 0.12095238095238 inches. 21 centimeter (cm) equals 8.26772 inch (in) the 21 cm to inches converter is a length converter from one unit to another. 1 centimetres = 0.39370078740157 inches using the online calculator for metric conversions. Check the chart for more details.

There are 12 inches in a foot, and 36 inches in a yard.

inches = cm * 2.54 the final formula to convert 21 inches to cm is: inches = 21 * 2.54 = 53.34 the history of measurement scales has been quite varied and extensive. One centimeter is approximately 0.3937 inches. In this case we should multiply 21 centimeters by 0.39370078740157 to get the equivalent result in inches: Height is commonly measured in centimeters outside of countries like the united states. In) is a unit of length in the imperial and us customary systems of measurement. As there are 2.54cm in an inch, to convert your cm figure to inches you need to divide your figure by 2.54. Should you wish to convert from inches to centimeters you can multiply by 2.54. A centimeter, or centimetre, is a unit of length equal to one hundredth of a meter. For practical purposes we can round our final result to an approximate numerical value. How to convert from centimeters to inches The history of measurement scales has been quite varied and extensive. Another way is saying that 21 centimeters is equal to 1 ÷ 0.12095238095238 inches.

Check the chart for more details. cm = 21 / 2.54 = 8.27. There are 12 inches in a foot, and 36 inches in a yard. How far is 21 centimeters in inches? How to convert from centimeters to inches

Ex 12 1 3 Given Figure Depicts An Archery Target Marked
Ex 12 1 3 Given Figure Depicts An Archery Target Marked from d1avenlh0i1xmr.cloudfront.net
The history of measurement scales has been quite varied and extensive. How to convert from centimeters to inches There are 2.54 centimeters in an inch. As there are 2.54cm in an inch, to convert your cm figure to inches you need to divide your figure by 2.54. 1 centimetres = 0.39370078740157 inches using the online calculator for metric conversions. An inch was defined to be equivalent to exactly 25.4 millimeters in 1959. Should you wish to convert from inches to centimeters you can multiply by 2.54. inches = 21 * 2.54 = 53.34 the history of measurement scales has been quite varied and extensive.

One centimeter is approximately 0.3937 inches.

In this case we should multiply 21 centimeters by 0.39370078740157 to get the equivalent result in inches: One centimeter is approximately 0.3937 inches. See full list on calculateme.com How to convert from centimeters to inches cm = inches / 2.54. A centimeter, or centimetre, is a unit of length equal to one hundredth of a meter. 21 centimeters x 0.39370078740157 = 8.2677165354331 inches 21 centimeters is equivalent to 8.2677165354331 inches. The history of measurement scales has been quite varied and extensive. There are 12 inches in a foot and 36 inches in a yard. The final formula to convert 21 cm to inches is: As there are 2.54cm in an inch, to convert your cm figure to inches you need to divide your figure by 2.54. 21 cm to in conversion. inches = 21 * 2.54 = 53.34 the history of measurement scales has been quite varied and extensive.